ANEJO 5. DETERMINACIÓN DE LOS ASIENTOS INDUCIDOS POR LA VIBRACIÓN SÍSMICA EN ARENAS

(Formato PDF)

(Publicación con comentarios (Formato PDF))

 

A continuación se incluyen dos procedimientos, uno para arenas saturadas y otro para arenas no saturadas, que permiten calcular, en una primera aproximación, el asiento producido por la vibración sísmica.

A5.1. Arenas saturadas

Con carácter orientativo, se podrá estimar el asiento inducido por la vibración sísmica de acuerdo con el siguiente procedimiento, válido inicialmente para arenas limpias. En general, cabe esperar que para un mismo valor del índice N1,60, los asientos en arenas con más de un 5% de finos sean menores que los obtenidos de acuerdo con dicho procedimiento.

 

TABLA A.5.1. Valor de KM,ε, para arenas saturadas

 

Figura A5.1

 

A5.2. Arenas no saturadas

Con carácter orientativo, se podrá estimar el asiento inducido por la vibración sísmica en arenas no saturadas de acuerdo con el siguiente procedimiento:

a)

Establecimiento del perfil geotécnico del terreno, que deberá quedar caracterizado al menos por la distribución en profundidad de los valores del índice de densidad ID o del índice N1,60.

Se entiende por índice de densidad de una arena ID, la relación entre los índices de poros, o pesos específicos, que se indica en la expresión siguiente:

 

donde:

b)

Determinación de la tensión tangencial provocada por el terremoto τE, según el comentario al apartado 8.3.1.

c)

Determinación del módulo de rigidez transversal del terreno para pequeñas deformaciones Gmáx, según el comentario al apartado 8.2.3. Alternativamente, podrá obtenerse Gmáx [kPa] a partir de la correlación siguiente, o de otras que el proyectista justifique convenientemente:

 

donde:

d)

Determinación de la deformación angular unitaria γc, a partir de la figura A.5.2.

Figura A5.2

 

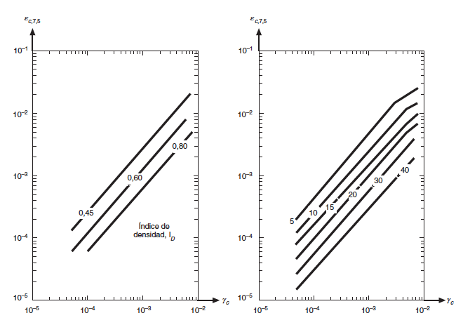
e)

Determinación del valor de la deformación vertical unitaria εc,7,5 a partir de la deformación angular unitaria γc y el índice de densidad ID o el índice N1,60, utilizando para ello la figura A.5.3, válida para un terremoto de magnitud M = 7,5.

 

Figura A5.3

 

f)

Corrección de la deformación vertical unitaria εc,7,5 obtenida de la figura A.5.3, de acuerdo con los siguientes criterios:

Para magnitudes de terremoto diferentes de M = 7,5 deberá multiplicarse el valor de εc,7,5 por el factor incluido en la tabla A.5.2. A falta de un estudio específico, la magnitud del terremoto de cálculo puede estimarse de forma aproximada de acuerdo con los valores que se indican en la tabla C.3.3.

TABLA A.5.2. Relación, εc,Mc,7,5 para arenas no saturadas

 

 

 

En todos los casos, el valor obtenido deberá multiplicarse por 2, para tener en cuenta el efecto multidireccional de la vibración.

g)

Obtención del asiento inducido por la vibración sísmica, como suma de los asientos correspondientes a los diferentes estratos, calculados como producto del espesor de cada estrato por su deformación vertical unitaria, teniendo en cuenta el efecto multidireccional de la vibración. Es decir:

 

donde: