ANEXO 2. ESTIMACIÓN DE LA LONGITUD DE LOS CARRILES DE CAMBIO DE VELOCIDAD

(Formato PDF)

 

En los modelos utilizados en la presente Norma se considera el vehículo como un sólido rígido, despreciando el efecto del sistema de suspensión.

Modelo de aceleración

Para la estimación del comportamiento de un vehículo frente a la situación de aceleración se considera que las condiciones de la maniobra se encuentran determinadas fundamentalmente por las prestaciones del vehículo.

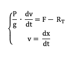
Asumiendo que la maniobra puede ser descrita con suficiente precisión en una dimensión, la exigencia de equilibrio conduce al siguiente sistema de ecuaciones diferenciales ordinarias:

 

Siendo:

Considerada la potencia del motor constante durante toda la maniobra, la fuerza de avance del vehículo puede ser estimada mediante la siguiente expresión:

 

Siendo:

Esta expresión define una hipérbola equilátera referida a sus propias asíntotas, paralelas a los ejes coordenados. No obstante, la fuerza de avance vendrá acotada por la máxima fuerza de tracción asumible por el pavimento, condición que se pone exclusivamente de manifiesto en los instantes iniciales de la maniobra. Esta reacción se puede estimar por:

 

Siendo:

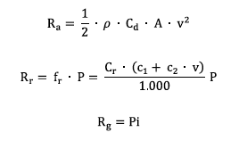
Por otro lado, la resistencia total al avance de un vehículo se estima por la expresión:

 

Siendo:

Estas tres resistencias se pueden estimar mediante las siguientes expresiones:

 

Siendo:

Los vehículos patrón considerados en la simulación son los incluidos en la Tabla A2.1.

 

TABLA A2.1. CARACTERÍSTICAS DINÁMICAS DE LOS VEHÍCULOS PATRÓN.

 

El sistema planteado puede ser finalmente resuelto numéricamente de forma elemental mediante un esquema de primer orden de Euler. Dado que en el modelo no se incorpora el efecto de los cambios de marchas, los resultados pueden sobrevalorar ligeramente las velocidades en distancias cortas. Con estas premisas se han obtenido los valores de la Tabla 8.2.

Si se despreciase el efecto de la resistencia aerodinámica y se considerase la resistencia a la rodadura constante, se puede obtener una solución analítica sencilla, de la forma:

 

Con:

 

Siendo:

Esta simplificación es especialmente útil en el caso de los vehículos pesados.

Modelo de deceleración

Para la estimación del comportamiento de un vehículo frente a la situación de frenado se considera que las condiciones de la maniobra se encuentran determinadas fundamentalmente por las preferencias del conductor más que por las prestaciones del vehículo.

Disponiendo de un espacio aceptable que mantenga la maniobra, es el conductor en última instancia el que determina la magnitud de las aceleraciones que quiere asumir y su distribución longitudinal.

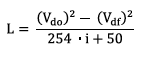
En estas condiciones, para la determinación de la distancia recorrida por un vehículo que pasa de una velocidad inicial a otra velocidad final se utiliza un modelo simplificado que considera una deceleración longitudinal uniforme, sin tener en cuenta las resistencias a la rodadura y las aerodinámicas. Conforme a esta hipótesis, la longitud necesaria de carril, en metros, vendría dada por la expresión:

 

Siendo:

En esta fórmula las velocidades deben expresarse en km/h.

Vehículo patrón

Los valores de las longitudes de los carriles de cambio de velocidad que figuran en la Tabla 8.2 corresponden a las prestaciones de un vehículo ligero de 20 kg/kW.

La utilización de un vehículo patrón de diferentes prestaciones para el cálculo de las longitudes de los carriles de cambio de velocidad exigirá una justificación exhaustiva de la elección del vehículo y el cálculo de las correspondientes longitudes.