CAPÍTULO 7. SECCIÓN TRANSVERSAL

(Formato PDF)

 

7.1 GENERALIDADES.

La sección transversal de una carretera o cualquier elemento de la misma, se establecerá en función de la intensidad y de la composición del tráfico previsibles en la hora de proyecto del año horizonte, considerando como tal el posterior en veinte (20) años al de la fecha de su entrada en servicio.

Las plataformas con distinto sentido de circulación en autopistas, autovías y carreteras multicarril se separarán con una mediana.

Las plataformas correspondientes a una carretera y a una vía complementaria (apartado 2.7) se separarán con una terciana.

7.2 CARRILES BÁSICOS DE LA SECCIÓN TRANSVERSAL TIPO.

El número de carriles básicos de cada calzada se establecerá a partir de la intensidad y de la composición del tráfico previsibles en la hora de proyecto del año horizonte, del nivel de servicio deseado y, en su caso, de los estudios económicos pertinentes. De dichos estudios se deducirán, en su caso, las previsiones de ampliación.

En cualquier caso se tendrán en cuenta, sin computar los carriles adicionales, las siguientes consideraciones:

Carreteras de calzadas separadas:

15 Las vías complementarias para regulación de accesibilidad y movilidad, según apartado 2.7, pueden ser vías colectoras - distribuidoras, vías de servicio o vías laterales.

Carreteras convencionales:

Vías colectoras - distribuidoras:

Vías de servicio de sentido único:

Vías de servicio de doble sentido:

Vías laterales:

Los niveles de servicio mínimos en la hora de proyecto del año horizonte cumplirán los valores mínimos indicados en la Tabla 7.1.

El proyecto de una carretera podrá ser realizado por fases, debiendo cumplirse en este caso en cada una de ellas, los valores mínimos del nivel de servicio indicados en el párrafo anterior.

En el Anexo 1 se incluyen tablas con las máximas intensidades medias diarias admisibles para diversas hipótesis, en algunas clases de carretera, a partir de las cuales se puede hacer una primera estimación sobre la decisión técnica de proyectar una carretera convencional o una de calzadas separadas (autopista, autovía y carretera multicarril).

7.3 SECCIÓN TRANSVERSAL EN PLANTA.

7.3.1 ELEMENTOS Y SUS DIMENSIONES.

Entre los elementos que constituyen la sección transversal de una carretera están la plataforma (carriles y arcenes) y las bermas. Sus dimensiones se ajustarán a los valores que se indican en la Tabla 7.1.

El nivel de servicio se obtendrá de acuerdo con la metodología desarrollada en el Manual de Capacidad del TRB (Transportation Research Board).

La sección de una vía lateral se asimilará, salvo justificación en contrario, a la de una vía colectora - distribuidora.

La sección de un ramal de transferencia se asimilará, salvo justificación en contrario, a la de un ramal de enlace de sentido único.

El ancho habitual de los carriles será tres metros y cincuenta centímetros (3,50 m) y se podrá reducir, si fuese necesario y de forma justificada, en tramos periurbanos y urbanos considerándose simultáneamente una reducción de la velocidad. En carreteras de calzadas separadas la reducción del ancho de los carriles podrá ser mayor en los situados a la izquierda que en los situados a la derecha, de uso más frecuente por vehículos pesados. Excepcionalmente, en tramo interurbanos de carreteras donde la intensidad de tráfico sea muy baja (IMD < 300 vehículos/día) podrá reducirse también el ancho del carril. En este caso, se considerará simultáneamente la reducción de la velocidad y la disposición de tramos con ancho superior o de apartaderos para el cruce de vehículos pesados.

En carreteras de calzadas separadas con velocidad de proyecto mayor o igual que cien kilómetros por hora ( 100 km/h) se exigirá que el arcén interior tenga un ancho de un metro y cincuenta centímetros (1,50 m) para medianas o tercianas en las que, de forma continuada,16 la barrera de seguridad se disponga adosada al borde de la plataforma.

16 Como estimación se puede considerar que una barrera de seguridad está adosada de forma continuada si dicha longitud es mayor o igual que quinientos metros ( 500 m).

 

En carreteras en terrenos con relieves accidentados o muy accidentados (Tabla 2.2) y con baja intensidad de tráfico (IMD < 3 000) se podrá reducir el ancho del arcén en cincuenta centímetros (50 cm). Además se podrá justificar la ausencia o reducción de la berma, garantizando siempre un ancho que permita la implantación de la señalización vertical y, si se dispusiese un sistema de contención de vehículos, su anchura de trabajo.

El arcén derecho de un ramal de enlace tendrá un ancho no inferior al del arcén de la vía de la que sale con un valor mayor o igual que un metro y cincuenta centímetros ( 1,50 m).

El ancho de los arcenes podrá reducirse, de forma justificada, en algunas zonas siempre que se garantice la visibilidad de parada. Las transiciones del ancho de los arcenes se efectuarán de acuerdo con lo indicado en el apartado 7.5.

 

TABLA 7.1. DIMENSIONES DE LA SECCIÓN TRANSVERSAL.

 

El ancho mínimo de las bermas indicado en la Tabla 7.1 podrá ser aumentado por motivos de visibilidad, anchura de trabajo de los sistemas de contención de vehículos, dimensiones de las señales de tráfico, etc., teniendo en cuenta la posible simultaneidad de elementos.

En ramales de enlace de doble sentido de circulación separados por un sistema de contención de vehículos, el ancho de cada semiplataforma será el correspondiente al de un ramal de enlace de sentido único.

7.3.2 MEDIANA Y TERCIANA.

Las características de la mediana en carreteras de calzadas separadas se fijarán a partir del preceptivo estudio técnico-económico, en el que se tendrán en cuenta el radio en planta, la visibilidad de parada (considerando los sistemas de contención de vehículos) y la previsión de incrementar el número de carriles, en su caso, así como cualquier otra circunstancia que pudiera ser necesario considerar en dicho estudio (apoyos de obras de paso y de señalización, excavaciones y rellenos, sistema de drenaje, iluminación, sistemas de contención de vehículos, coste de las expropiaciones, etc.).

El ancho mínimo de la mediana será:

Las características de la terciana deberán permitir la implantación de los sistemas de contención de vehículos, de la señalización vertical y del sistema de drenaje. Eventualmente, además de los ramales de transferencia si existiesen, deberá ser posible ubicar los siguientes elementos: pilas de obras de paso, báculos de iluminación y pantallas antirruido.

El ancho de la terciana deberá permitir, si fuese necesario y previsible, la ampliación de carriles a expensas de ella.

7.3.3 BOMBEO EN RECTA.

El bombeo de la plataforma en una alineación recta se proyectará de modo que se evacúen con facilidad las aguas superficiales y que su recorrido sobre la calzada sea mínimo.

Para ello se utilizarán los siguientes criterios:

En zonas de elevada pluviometría podrá justificarse aumentar la inclinación transversal mínima al dos y medio por ciento ( 2,5 %).

Las bermas se dispondrán con una inclinación transversal del cuatro por ciento (4 %) hacia el exterior de la plataforma.

7.3.4 PENDIENTES TRANSVERSALES EN CURVA.

En curvas circulares y en curvas de acuerdo la pendiente transversal de la calzada y de los arcenes coincidirá con el peralte.

Las bermas tendrán una pendiente transversal hacia el exterior de la plataforma no inferior al cuatro por ciento ( 4 %). Cuando el peralte supere el cuatro por ciento (> 4 %), la berma en el lado interior de la curva, tendrá una pendiente transversal igual al peralte, manteniéndose el cuatro por ciento (4 %) hacia el exterior de la plataforma en el lado exterior de la curva.

7.3.5 SOBREANCHO EN CURVAS.

El ancho de los carriles en las curvas de carreteras17 de radio inferior a doscientos cincuenta metros (< 250 m) se estimará mediante la aplicación de procedimientos de simulación, teniendo en cuenta que dicho ancho se deberá incrementar en dichas curvas con una holgura tal que, al recorrer la trayectoria que defina el trazado en planta, tanto la esquina delantera exterior como la esquina trasera interior del vehículo patrón característico no estén a menos de cincuenta centímetros ( 50 cm) de los bordes de dicho carril con un mínimo absoluto de treinta centímetros ( 30 cm). Para este análisis, el vehículo se considerará centrado en el carril.

17 Relacionadas en el apartado 2.2 E).

El vehículo patrón característico se determinará en el correspondiente estudio de tráfico, para lo cual se tendrán en cuenta las condiciones de explotación (circunstancias ordinarias y extraordinarias)18 consideradas en la carretera.

18 Las condiciones de explotación están descritas en el apartado 10.1 para los nudos y son extrapolables a las carreteras. Los vehículos patrón están relacionados en el Anexo 3.

El sobreancho en una curva es la diferencia entre el ancho del carril en dicha curva y en una recta, debido al mayor espacio que, si el radio es reducido, requiere un vehículo que circule por ella, no pudiendo obtenerse por disminución del ancho de los arcenes.

De forma simplificada y fuera de intersecciones, la transición entre el ancho de los carriles en recta y en curva se podrá realizar linealmente, en una longitud mayor o igual que treinta metros ( 30 m) desarrollada a lo largo de la clotoide, aumentando progresivamente el ancho de los carriles hasta alcanzar el sobreancho máximo estimado en el inicio de la curva circular. En casos especialmente difíciles (como cuando no existe curva de acuerdo) podrá aceptarse que el veinticinco por ciento (25 %) de la transición se sitúe dentro de la propia curva circular. La ampliación del ancho del carril por el sobreancho en curvas se efectuará, salvo justificación en contrario, por el borde derecho del carril en el sentido de la marcha, de acuerdo con lo indicado en el apartado 7.5.

Para evitar reiteradas modificaciones del ancho de un carril por la existencia de curvas de distinto radio se procurará homogeneizar la sección del carril al valor máximo. Si el tramo tuviese una longitud mayor o igual que doscientos cincuenta metros ( 250 m) podrá modularse el sobreancho en curvas por intervalos de doscientos cincuenta metros (250 m).

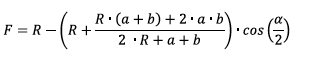
En curvas circulares en carreteras de radio inferior a doscientos cincuenta metros (< 250 m) y para vehículos rígidos, el ancho de cada carril (en metros) podrá ser estimado, de forma simplificada, mediante la expresión:

 

Siendo:

7.3.6 DESMONTES, RELLENOS, CUNETAS Y OTROS ELEMENTOS.

Las diversas secciones tipo se proyectarán teniendo en cuenta, además de las plataformas, los desmontes, los rellenos, las cunetas, el drenaje longitudinal subterráneo, los sistemas de contención de vehículos con su anchura de trabajo, la señalización vertical y el balizamiento de acuerdo con la normativa vigente. Eventualmente se considerarán también las instalaciones para los sistemas inteligentes de transporte (ITS), los báculos de iluminación, las pantallas antirruido, las pilas y los estribos de las estructuras y las cimentaciones de todos los elementos.

7.3.7 ALTURA LIBRE.

La altura libre mínima bajo pasos superiores sobre cualquier punto de la plataforma de las carreteras será:

La altura libre mínima bajo pasarelas, pórticos o banderolas, sobre cualquier punto de la plataforma, será mayor o igual que cinco metros y cincuenta centímetros ( 5,50 m).

En túneles, soterramientos y cubrimientos la altura libre en cualquier punto de la plataforma y en las zonas accesibles a los vehículos será mayor o igual que cinco metros ( 5,00 m). Sobre las aceras será suficiente una altura libre mayor o igual que dos metros ( 2,00 m).

7.4 SECCIONES TRANVERSALES SINGULARES.

Se considerarán secciones transversales singulares las correspondientes a túneles, soterramientos, cubrimientos y ciertos tipos de obras de paso.

Dadas las dificultades que, en general, se presentan en la ampliación de las secciones transversales singulares, se deberá tener en cuenta que en estas obras el año horizonte se sitúa treinta (30) años después de la fecha de entrada en servicio. No obstante, además de esta consideración, se podrán tener en cuenta otros criterios suficientemente justificados que permitan su optimización.

En el caso de túneles, soterramientos, cubrimientos y obras de paso consecutivos y próximos deberá proyectarse la sección transversal con la mayor homogeneidad posible.

7.4.1 TÚNELES, SOTERRAMIENTOS Y CUBRIMIENTOS.

La sección transversal en túneles, soterramientos y cubrimientos se establecerá en función de su longitud.

Se dispondrán aceras de setenta y cinco centímetros (75 cm) de ancho a ambos lados de la plataforma, al menos en los casos indicados en el Real Decreto 635/2006, de 26 de mayo, sobre requisitos mínimos de seguridad en los túneles de carreteras del Estado o normativa que lo sustituya.

7.4.1.1 TÚNELES, SOTERRAMIENTOS Y CUBRIMIENTOS DE LONGITUD MENOR QUE DOSCIENTOS METROS (< 200 m).

En túneles, soterramientos y cubrimientos de longitud menor que doscientos metros (< 200 m), salvo expresa justificación en contrario, se mantendrá:

7.4.1.2 TÚNELES, SOTERRAMIENTOS Y CUBRIMIENTOS DE LONGITUD MAYOR O IGUAL QUE DOSCIENTOS METROS ( 200 m).

En los túneles, soterramientos y cubrimientos de longitud mayor o igual que doscientos metros ( 200 m) las secciones que se adoptarán en las plataformas, salvo expresa justificación en contrario, serán las siguientes:

Carreteras de calzadas separadas (para cada plataforma):

Calzada con dos carriles sin previsión de ampliación.

Arcén 1,00 m + 2 carriles de 3,50 m + arcén 2,50 m = 10,50 m

Para los túneles en los que la velocidad esté limitada o controlada mediante señalización variable, con tráfico poco intenso (saturación a más de 20 años) o en terrenos geológicamente desfavorables se podrá justificar la reducción a una sección más estricta no inferior a:

Arcén 0,50 m + 2 carriles de 3,50 m + arcén 1,00 m = 8,50 m

Calzada con dos carriles con previsión de ampliación a tres carriles.

La sección de la plataforma una vez ampliada estará formada por:

Arcén 1,00 m + 3 carriles de 3,50 m + arcén 1,00 m = 12,50 m

Antes de la ampliación se dispondrá dentro de la plataforma de doce metros y cincuenta centímetros (12,50 m) una sección de:

Arcén 1,00 m + 2 carriles de 3,50 m + arcén 2,50 m = 10,50 m

En el resto de la sección, dos metros (2,00 m), se dispondrá un cebreado que se ubicará a la derecha, salvo que razones de visibilidad aconsejen disponerlo a la izquierda.

Calzada con tres carriles sin previsión de ampliación.

Arcén 1,00 m + 3 carriles de 3,50 m + arcén 1,00 m = 12,50 m

Calzada con tres carriles con previsión de ampliación a cuatro carriles.

La sección de la plataforma una vez ampliada estará formada por:

Arcén 1,00 m + 4 carriles de 3,50 m + arcén 1,00 m = 16,00 m

Antes de la ampliación se dispondrá dentro de la plataforma de dieciséis metros (16,00 m) una sección de:

Arcén 1,00 m + 3 carriles de 3,50 m + arcén 2,50 m = 14,00 m

En el resto de la sección, dos metros (2,00 m), se dispondrá un cebreado que se ubicará a la derecha, salvo que razones de visibilidad aconsejen disponerlo a la izquierda.

Calzada con cuatro carriles.

Arcén 1,00 m + 4 carriles de 3,50 m + arcén 1,00 m = 16,00 m

Carreteras convencionales:

 

La sección de la plataforma será simétrica, sin espacio para la detención de un vehículo en el arcén. En las carreteras C-100, C-90 y C-80 se incluirá una zona intermedia cebreada de un metro (1,00 m) de ancho en la que no se permitirá la circulación de vehículos (reduciéndose así la posibilidad de invasión del carril de circulación en sentido opuesto).

La sección de la plataforma estará formada por:

Carreteras convencionales C-100, C-90 y C-80.

 

Arcén 1,00 m + carril 3,50 m + zona intermedia 1,00 m + carril 3,50 m + arcén 1,00 m = 10,00 m

Carreteras convencionales C-70 y C-60 con arcenes de un metro y cincuenta centímetros (1,50 m) y con arcenes de un metro (1,00 m).

 

Arcén 1,00 m + 2 carriles de 3,50 m + arcén 1,00 m = 9,00 m

Carreteras convencionales C-50 y C-40 con carriles de tres metros y cincuenta centímetros (3,50 m) y arcenes de un metro (1,00 m).

 

Arcén 1,00 m + 2 carriles de 3,50 m + arcén 1,00 m = 9,00 m

Carreteras convencionales C-50 y C-40 con carriles de tres metros y cincuenta centímetros (3,50 m) y arcenes de cincuenta centímetros (0,50 m).

 

Arcén 0,50 m + 2 carriles de 3,50 m + arcén 0,50 m = 8,00 m

Carreteras convencionales C-50 y C-40 con carriles de tres metros (3,00 m) y arcenes de un metro (1,00 m).

 

Arcén 1,00 m + 2 carriles de 3,00 m + arcén 1,00 m = 8,00 m

Carreteras convencionales C-50 y C-40 con carriles de tres metros (3,00 m) y arcenes de cincuenta centímetros (0,50 m).

 

Arcén 0,50 m + 2 carriles de 3,00 m + arcén 0,50 m = 7,00 m

Las secciones en otros tipos de carreteras de calzada única se diseñarán con criterios análogos.

En la Tabla 7.2 se incluye la sección de la plataforma de los túneles, soterramientos y cubrimientos de longitud mayor o igual que doscientos metros ( 200 m), sin incluir las aceras de setenta y cinco centímetros (75 cm) de ancho.

 

TABLA 7.2.

 

Si se proyectasen túneles, soterramientos y cubrimientos en carreteras convencionales C-100, C-90 y C-80 con previsión de que constituyan una primera calzada de una carretera de calzadas separadas se ampliará la zona intermedia cebreada del túnel hasta un metro y cincuenta centímetros (1,50 m) para poder obtener una sección de diez metros y cincuenta centímetros (10,50 m).

El diseño de las instalaciones para el equipamiento de los túneles, soterramientos, cubrimientos y otros elementos de seguridad (puestos de emergencia, refugios, apartaderos, galerías, etc.) podrá suponer modificaciones puntuales de la sección transversal, debiendo también tenerse en cuenta a estos efectos la señalización vertical fija y variable.

Si dentro de un túnel, soterramiento o cubrimiento se proyectasen apartaderos se evitará que existan cambios bruscos de las secciones transversales de transición.

7.4.2 OBRAS DE PASO.

La sección transversal de las obras de paso será función de su longitud y se dispondrá en ella un espacio adicional que permita la correcta implantación de los sistemas de contención de vehículos (pretiles), la señalización vertical, los servicios y las posibles aceras.

7.4.2.1 OBRAS DE PASO DE LONGITUD MENOR QUE CIEN METROS (< 100 m).

En las obras de paso de longitud menor que cien metros (< 100 m), medida entre estribos, se mantendrá el ancho de la plataforma (calzada y arcenes).

7.4.2.2 OBRAS DE PASO DE LONGITUD MAYOR O IGUAL QUE CIEN METROS ( 100 m).

En las obras de paso de longitud mayor o igual que cien metros ( 100 m), medida entre estribos, las secciones que se adoptarán en las plataformas, salvo expresa justificación en contrario, serán las siguientes:

Carreteras de calzadas separadas (para cada plataforma):

Calzada con dos carriles sin previsión de ampliación.

Arcén 1,00 m + 2 carriles de 3,50 m + arcén 2,50 m = 10,50 m

Calzada con dos carriles con previsión de ampliación a tres carriles.

La sección de la plataforma una vez ampliada estará formada por:

Arcén 1,00 m + 3 carriles de 3,50 m + arcén 1,00 m = 12,50 m

Antes de la ampliación se dispondrá dentro de la plataforma de doce metros y cincuenta centímetros (12,50 m) una sección de:

Arcén 1,00 m + 2 carriles de 3,50 m + arcén 2,50 m = 10,50 m

En el resto de la sección dos metros (2,00 m), se dispondrá un cebreado que se ubicará a la derecha salvo que razones de visibilidad aconsejen disponerlo a la izquierda.

Calzada con tres carriles sin previsión de ampliación.

Arcén 1,00 m + 3 carriles de 3,50 m + arcén 1,00 m = 12,50 m

Calzada con tres carriles con previsión de ampliación a cuatro carriles.

La sección de la plataforma una vez ampliada estará formada por:

Arcén 1,00 m + 4 carriles de 3,50 m + arcén 1,00 m = 16,00 m

Antes de la ampliación se dispondrá dentro de la plataforma de dieciséis metros (16,00 m) una sección de:

Arcén 1,00 m + 3 carriles de 3,50 m + arcén 2,50 m = 14,00 m

En el resto de la sección dos metros (2,00 m), se dispondrá un cebreado que se ubicará a la derecha salvo que razones de visibilidad aconsejen disponerlo a la izquierda.

Calzada con cuatro carriles.

Arcén 1,00 m + 4 carriles de 3,50 m + arcén 1,00 m = 16,00 m

Carreteras convencionales:

Carreteras convencionales C-100.

Arcén 1,50 m + 2 carriles de 3,50 m + arcén 1,50 m = 10,00 m

Carreteras convencionales C-90 y C-80.

Arcén 1,00 m + 2 carriles de 3,50 m + arcén 1,00 m = 9,00 m

Carreteras convencionales C-70 y C-60 con arcenes de un metro y cincuenta centímetros (1,50 m) y con arcenes de un metro (1,00 m).

Arcén 1,00 m + 2 carriles de 3,50 m + arcén 1,00 m = 9,00 m

Carreteras convencionales C-50 y C-40 con carriles de tres metros y cincuenta centímetros (3,50 m) y con arcenes de un metro (1,00 m).

Arcén 1,00 m + 2 carriles de 3,50 m + arcén 1,00 m = 9,00 m

Carreteras convencionales C-50 y C-40 con carriles de tres metros y cincuenta centímetros (3,50 m) y arcenes de cincuenta centímetros (0,50 m).

Arcén 0,50 m + 2 carriles de 3,50 m + arcén 0,50 m = 8,00 m

Carreteras convencionales C-50 y C-40 con carriles de tres metros (3,00 m) y arcenes de un metro (1,00 m).

Arcén 1,00 m + 2 carriles de 3,00 m + arcén 1,00 m = 8,00 m

Carreteras convencionales C-50 y C-40 con carriles de tres metros (3,00 m) y arcenes de cincuenta centímetros (0,50 m).

Arcén 0,50 m + 2 carriles de 3,00 m + arcén 0,50 m = 7,00 m

Las secciones en otros tipos de carreteras de calzada única se diseñarán con criterios análogos.

En la Tabla 7.3 se incluye la sección de la plataforma de las obras de paso de longitud mayor o igual que cien metros 100 m) sin incluir espacios adicionales.

TABLA 7.3.

 

7.4.3 CARRILES ADICIONALES Y APARTADEROS.

Las secciones transversales de los carriles adicionales y apartaderos se describen en el Capítulo 8 con las especificaciones propias de cada uno de ellos.

La implantación de un carril adicional (apartado 8.1) en una carretera, salvo indicación en contrario, no supondrá la disminución del ancho de los arcenes ni su supresión. No obstante, en tramos urbanos y periurbanos se podrá de forma justificada disminuir el ancho del arcén adosado a un carril adicional (que no sea carril o cuña de cambio de velocidad, carril de convergencia o divergencia) hasta un mínimo de un metro ( 1,00 m).

7.5 TRANSICIÓN DEL ANCHO DE CARRILES Y ARCENES.

Si fuese necesario modificar el ancho de los carriles de una carretera por alguna de las circunstancias indicadas en el epígrafe 7.3.1, la transición de dicho ancho (excepto en ramales de enlace, ramales de transferencia, vías colectoras - distribuidoras y vías de servicio de un (1) carril) se hará gradualmente y preferiblemente en tramos rectos.

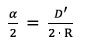
La longitud de la transición L cumplirá la relación

 

siendo deseable alcanzar el valor .

 

Siendo:

Se procurará efectuar la transición del ancho de los carriles de una carretera (Figura 7.1) como una sucesión de parábola, recta y parábola.

 

FIGURA 7.1. TRANSICIÓN DEL ANCHO DE LOS CARRILES DE UNA CARRETERA.

 

De acuerdo con lo indicado en la Tabla 7.1, los ramales de enlace, los ramales de transferencia, las vías colectoras - distribuidoras, las vías de servicio y las vías laterales de un carril tendrán un ancho mínimo de cuatro metros ( 4,00 m). En consecuencia, la transición del ancho de tres metros y cincuenta centímetros (3,50 m), existente en el carril o cuña de cambio de velocidad, al ancho de cuatro metros (4,00 m), existente en los citados ramales de enlace, ramales de transferencia, vías colectoras - distribuidoras, vías de servicio y vías laterales de un (1) carril, se realizará, salvo justificación en contrario, modificando el borde de la calzada exterior común y, si es factible, antes de alcanzar un posible sobreancho en curvas.

Tomando como referencia la sección característica de 1,0 m del carril o cuña de cambio de velocidad, se establecerá una variación lineal del ancho en la que se asigne un tercio de la longitud de transición al carril o cuña de cambio de velocidad y el resto al ramal de enlace, ramal de transferencia, vía colectora - distribuidora, vía de servicio y vía lateral de un carril (Figura 7.2, caso de una salida).

 

FIGURA 7.2. TRANSICIÓN DEL ANCHO DE CARRIL O CUÑA DE CAMBIO DE VELOCIDAD.

 

En el caso de que la transición del ancho de los carriles coincida con la correspondiente al sobreancho en curvas circulares en carreteras de radio inferior a doscientos cincuenta metros (< 250 m) descrita en el epígrafe 7.3.5, se coordinarán las transiciones cumpliéndose las especificaciones más restrictivas.

La transición del ancho de los arcenes se hará, salvo justificación en contrario, linealmente en una longitud mayor o igual que cincuenta metros ( 50 m) en las carreteras de los Grupos 1 y 2 y que veinticinco metros ( 25 m) en las carreteras del Grupo 3.

7.6 ANÁLISIS DE OBSTÁCULOS EN CALZADAS Y MÁRGENES.

En los proyectos de carreteras se efectuará un análisis de aquellos obstáculos que puedan impedir la visibilidad de objetos sobre la calzada o suponer riesgo de accidente en caso de colisión con dichos obstáculos por salida del vehículo de la plataforma.

Este análisis determinará el despeje necesario para que el conductor disponga de la visibilidad requerida (parada, adelantamiento, decisión o cruce) en cada caso, teniendo en cuenta simultáneamente tanto el trazado en planta como en alzado. En el caso de trazados en acuerdos verticales cóncavos debe comprobarse la afección a la visibilidad que puede suponer una estructura sobre la calzada o carril (paso superior, pasarela, pórtico y banderola de señalización, etc.).

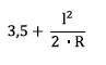
Para una curva circular en planta, y siempre que el vehículo y el obstáculo a divisar se encuentren dentro de ella, el valor del despeje necesario en cada punto para disponer de una determinada visibilidad (sin tener en cuenta el alzado) se estimará, en una primera aproximación (Figura 7.3), aplicando la fórmula:

 

Siendo:

La distancia será mayor o igual que la visibilidad requerida (parada, adelantamiento, decisión o cruce).

 

FIGURA 7.3. VISIBILIDAD EN PLANTA EN CURVAS CIRCULARES.

 

Adicionalmente se identificarán los posibles obstáculos existentes hasta una distancia de veinte metros (20,00 m) desde los bordes exteriores de la calzada, realizándose el correspondiente análisis de riesgo. A estos efectos, también tendrán la consideración de obstáculo aquellas estructuras situadas en las márgenes de las calzadas donde exista posibilidad de colisión del vehículo con la parte inferior de la estructura (por ser el gálibo respecto a la rasante existente menor que cinco metros (< 5,00 m)).

Además, en carreteras de calzadas separadas, entre las dos plataformas de una bifurcación o de una divergencia correspondientes a un carril de deceleración o de trenzado, se procurará mantener, hasta una distancia mayor que sesenta metros (> 60 m) a partir del punto de apertura de los carriles completos (sección característica de 1,00 m) una zona sensiblemente coplanaria y libre de obstáculos, en la cual se dispondrá preferentemente gravilla suelta (Figura 7.4).

 

FIGURA 7.4. ZONA SENSIBLEMENTE COPLANARIA Y LIBRE DE OBSTÁCULOS.