CAPÍTULO 4. TRAZADO EN PLANTA

(Formato PDF)

 

4.1 GENERALIDADES.

El trazado en planta de una carretera o calzada se compondrá de la adecuada combinación de los siguientes elementos: alineación recta (o recta), alineación circular (o curva circular) y curva de acuerdo (o curva de transición). En el Anexo 4 se incluyen las distintas combinaciones de elementos curvos que podrán ser utilizadas en los proyectos de carreteras.

La combinación de una alineación circular y sus curvas de acuerdo suele denominarse abreviadamente alineación curva (o curva).

La definición del trazado en planta se referirá a un eje, que fija un punto en cada sección transversal, para cuya definición en general y salvo justificación en contrario, se adoptará:

4.2 RECTAS.

La alineación recta es un elemento de trazado que está indicado en carreteras convencionales para obtener suficientes oportunidades de adelantamiento y en cualquier tipo de carretera para adaptarse a condicionamientos externos obligados (infraestructuras existentes, condiciones urbanísticas, terrenos llanos, etc.).

4.2.1 LONGITUDES MÍNIMA Y MÁXIMA.

Para que se produzca una acomodación y una adaptación a la conducción, se procurará limitar las longitudes mínimas de las alineaciones rectas.

Asimismo para evitar problemas relacionados con el cansancio, los deslumbramientos, los excesos de velocidad, etc., se procurará limitar las longitudes máximas de las alineaciones rectas.

En caso de disponerse el elemento alineación recta, se procurará que las longitudes mínima y máxima, en función de la velocidad de proyecto (Vp), sean las obtenidas de las expresiones siguientes:

 

Siendo:

En la Tabla 4.1 se incluyen los valores de estas longitudes para diferentes valores de la velocidad de proyecto (Vp).

Se emplearán alineaciones rectas, en general, en coincidencia con nudos y tramos singulares que así lo justifiquen y, en particular, en terrenos llanos, en valles de configuración recta y por conveniencia de adaptación a otras infraestructuras lineales y además, en carreteras convencionales, en las proximidades de cruces y tramos de detención obligada.

 

TABLA 4.1. LONGITUDES MÍNIMA Y MÁXIMA RECOMENDABLES EN ALINEACIONES RECTAS.

 

4.2.2 RECTA DE LONGITUD LIMITADA.11

11 También denominada recta de longitud dependiente.

Se considerará que una alineación recta situada entre dos alineaciones curvas (constituidas por las curvas de acuerdo y la curva circular) es de longitud limitada, si la velocidad máxima alcanzable en ella se ve condicionada por la presencia de dichas alineaciones curvas. Si la longitud de la alineación recta fuera superior a la limitada, el conductor del vehículo podrá adoptar la velocidad máxima alcanzable en dicha alineación recta conforme a sus propias preferencias sobre la conducción y las limitaciones de velocidad señalizadas.

En la Tabla 4.2 se incluyen los valores máximos de las longitudes de las alineaciones rectas para ser consideradas como recta de longitud limitada.

 

TABLA 4.2.

 

La coordinación entre alineaciones curvas consecutivas, con o sin alineación recta intermedia, sea o no de longitud limitada, se desarrolla en el apartado 4.5.

Si la alineación recta es de longitud limitada, no será necesario establecer el bombeo mediante dos planos diferentes (apartado 4.7).

4.3 CURVAS CIRCULARES.

4.3.1 GENERALIDADES.

Fijada una cierta velocidad el radio mínimo a adoptar en las curvas circulares se determinará en función de:

4.3.2 CARACTERÍSTICAS.

Para describir el comportamiento de un vehículo que circula por una curva circular se considera un modelo consistente en establecer su equilibrio transversal como sólido rígido, que recorre dicha curva circular en planta a velocidad constante, prescindiendo del efecto del sistema de suspensión.

Según este modelo, la velocidad de la curva circular, el radio, el coeficiente de rozamiento transversal movilizado y el peralte se relacionan mediante la siguiente expresión:

 

Siendo:

Para toda curva circular con el peralte máximo correspondiente se cumplirá que, recorrida la curva circular a la velocidad específica (Ve), no se sobrepasarán los valores del coeficiente transversal máximo movilizado (ftMAX) de la Tabla 4.3.

 

TABLA 4.3. COEFICIENTE DE ROZAMIENTO TRANSVERSAL MÁXIMO MOVILIZADO .

 

El radio deducido de la expresión anterior constituye el mínimo admisible en el diseño de la curva circular. La utilización sistemática de curvas circulares con radios mínimos se justificará suficientemente.

Se adoptará como velocidad específica (Vei) de cada una de las curvas circulares que forman parte de un tramo la correspondiente a la velocidad de proyecto (Vp) de dicho tramo.

En la Tabla 4.4 se incluyen los radios mínimos y los peraltes máximos correspondientes a diferentes velocidades proyecto (Vp).

 

TABLA 4.4. RELACIÓN VELOCIDAD DE PROYECTO - RADIO MÍNIMO - PERALTE MÁXIMO.

 

Para radios superiores a los mínimos indicados en la Tabla 4.4 se deberán cumplir los criterios indicados en la Tabla 4.5.

4.3.3 RADIOS Y PERALTES.

El peralte (p) en tanto por ciento (%) se establecerá de acuerdo con los criterios indicados en la Tabla 4.5 cuando se utilicen radios superiores al mínimo.

 

TABLA 4.5.

 

4.4 CURVAS DE ACUERDO.

4.4.1 FUNCIONES Y UTILIZACIÓN.

Las curvas de acuerdo (o curvas de transición) tienen por objeto evitar discontinuidades en la curvatura del trazado, por lo que, en su diseño deberán proporcionar las mismas condiciones de comodidad y seguridad que el resto de los elementos del trazado.

Para curvas circulares de radio menor que cinco mil metros (< 5 000 m) en carreteras de los Grupos 1 y 2 y para curvas circulares de radio menor que dos mil quinientos metros (< 2 500 m) en carreteras del Grupo 3, será necesario utilizar curvas de acuerdo, mientras que para curvas circulares de radios mayores o iguales que los indicados no será necesario utilizarlas. Las excepciones para ángulos de giro Ω pequeños se incluyen en el epígrafe 4.4.8.

4.4.2 FORMA Y CARACTERÍSTICAS.

Se adoptará en todos los casos como forma de la curva de acuerdo una clotoide, cuya ecuación intrínseca es:

 

Siendo:

Otros valores a considerar son (Figura 4.1):

 

FIGURA 4.1. CURVA DE ACUERDO.

 

4.4.3 PARÁMETRO Y LONGITUD MÍNIMOS.

La longitud de una curva de acuerdo y consecuentemente el parámetro correspondiente serán los mayores que cumplan las limitaciones que se indican en los epígrafes 4.4.3.1, 4.4.3.2 y 4.4.3.3.

4.4.3.1 LIMITACIÓN DE LA VARIACIÓN DE LA ACELERACIÓN CENTRÍFUGA EN EL PLANO HORIZONTAL.

La variación de la aceleración centrífuga no compensada por el peralte deberá limitarse a un valor aceptable desde el punto de vista de la comodidad.

Suponiendo a efectos de cálculo que la clotoide se recorre a velocidad constante igual a la velocidad específica de la curva circular asociada de radio menor, el parámetro en metros, deberá cumplir la condición siguiente:

Siendo:

lo que supone una longitud mínima (Lmín) de la clotoide en metros dada por la expresión:

 

A efectos prácticos, se adoptarán para J los valores indicados en la Tabla 4.6, debiendo sólo utilizarse los valores de Jmax cuando suponga un menor coste tal, que justifique suficientemente esta restricción en el trazado, aunque conlleve una disminución de la comodidad.

 

TABLA 4.6.

 

Las fórmulas simplificadas que definen los valores de Amíny Lmínpara el caso más usual en el que la clotoide une una alineación recta (R1= ∞ y P1=0) y una curva circular (R0 y P0) son las siguientes:

4.4.3.2 LIMITACIÓN POR TRANSICIÓN DEL PERALTE.

La variación longitudinal de la pendiente transversal ∇ip (gradiente de la pendiente transversal) en la transición del peralte (apartado 4.7) deberá limitarse por razones de comodidad en la conducción.

Determinado el borde de la sección transversal que soporta la mayor variación longitudinal de la pendiente transversal, se establecerá la longitud mínima en la que se deberá efectuar la transición del peralte para que no se supere un valor del gradiente de la pendiente transversal (∇ip), que vendrá dado por la expresión:

 

Siendo:

Dado que en general la transición del peralte se desarrollará a lo largo de la curva de acuerdo en planta (clotoide), habiéndose desvanecido previamente el bombeo que exista en sentido contrario al del peralte definitivo (apartado 4.7), la longitud de la transición del peralte y, consecuentemente, la longitud de la clotoide tendrá un valor mínimo definido por la expresión:

Siendo:

Consecuentemente el valor de (Amin) será:

4.4.3.3 LIMITACIONES POR CONDICIONES DE PERCEPCIÓN VISUAL.

Para que la presencia de una curva de acuerdo resulte fácilmente perceptible por el conductor, se deberá cumplir simultáneamente que:

Es decir:

 

Siendo:

Para valores de R0 mayores o iguales que novecientos setenta y dos metros ( ≥ 972 m) es aplicable la primera condición y para valores de R0 menores que novecientos setenta y dos metros (< 972 m) es aplicable la segunda condición.

Se procurará, además, que la variación de acimut entre los extremos de la clotoide sea mayor o igual que la quinta parte del ángulo total de giro (Ω) entre las alineaciones rectas consecutivas en que se inserta la clotoide (Figura 4.1).

Es decir:

 

Siendo:

Las Figuras 4.2, 4.3 y 4.4 muestran de forma gráfica, para los Grupos 1, 2 y 3, el resultado de las citadas limitaciones.

 

FIGURA 4.2.

 

 

FIGURA 4.3.

 

 

FIGURA 4.4.

 

4.4.4 LONGITUDES MÁXIMAS.

Se procurará no aumentar las longitudes y parámetros mínimos de las curvas de acuerdo obtenidos en el epígrafe 4.4.3, salvo expresa justificación en contrario.

La longitud máxima de una curva de acuerdo (clotoide) no será superior a una vez y media ( no > 1,5) su longitud mínima.

4.4.5 DESARROLLO MÍNIMO.

El desarrollo mínimo de la curva correspondiente a la combinación básica Tipo I (constituida por una curva circular con sus correspondientes curvas de acuerdo, Anexo 4) se corresponderá, en general, con una variación de acimut entre sus extremos (ángulo Ω en la Figura 4.1) mayor o igual que veinte gonios (≥ 20 gon), pudiendo aceptarse valores entre veinte gonios (20 gon) y seis gonios (6 gon). Excepcionalmente podrán admitirse valores menores que seis gonios (< 6 gon) mediante la utilización de curvas Tipo III (epígrafe 4.4.8).

4.4.6 SIMETRÍA.

Las curvas de acuerdo (clotoides) contiguas a una curva circular en el tronco de una carretera (mayoritariamente en los Grupos 1 y 2) deberán ser simétricas, salvo justificación técnica en contrario.

4.4.7 CLOTOIDES DE VÉRTICE Y OTRAS ALINEACIONES.

Las clotoides de vértice (curva Tipo II, Anexo 4) que no tienen curva circular intermedia no se utilizarán, en general y salvo justificación en contrario, en el tronco de las carreteras.

En ramales de enlace, en vías de giro y en las carreteras del Grupo 3 con velocidades inferiores, podrán utilizarse otros tipos de alineaciones curvas (Anexo 4).

4.4.8 ÁNGULOS DE GIRO PEQUEÑOS.

En el caso de valores excepcionales de ángulos de giro (Ω) entre dos alineaciones rectas menores que seis gonios (< 6 gon), para mejorar la percepción visual, se realizará la unión de las mismas mediante una curva circular sin clotoides (curva Tipo III, Anexo 4), de radio tal que se cumpla:

 

Siendo:

Se procurará que el ángulo de giro (Ω) entre dos alineaciones rectas consecutivas no sea inferior a dos gonios (no < 2 gon) excepto en caso de proximidad a otras infraestructuras.

4.5 COORDINACIÓN ENTRE ALINEACIONES CURVAS CONSECUTIVAS.

Cuando se unan dos alineaciones curvas consecutivas (constituida cada una por una curva circular con sus correspondientes curvas de acuerdo) sin alineación recta intermedia o con una recta de longitud limitada (epígrafe 4.2.2), la relación de radios de las curvas circulares no sobrepasará los valores obtenidos a partir de las expresiones de la Tabla 4.7 representadas en la Figura 4.5.

 

TABLA 4.7. RELACIÓN ENTRE RADIOS DE CURVAS CIRCULARES CONSECUTIVAS SIN RECTA INTERMEDIA O CON RECTA DE LONGITUD LIMITADA.12

 

12 En este modelo se considera que el usuario no percibe de igual manera el paso de un radio inferior a uno superior que la situación inversa.

 

El trazado se analizará por sentido buscando un adecuado equilibrio entre los radios de las curvas consecutivas a disponer.

Cuando se unan dos alineaciones curvas consecutivas (constituidas cada una por una curva circular con sus correspondientes curvas de acuerdo) con alineación recta intermedia de mayor longitud que la correspondiente a la recta de longitud limitada (Tabla 4.2) el radio de la curva circular de salida R´, en el sentido de la marcha, será:

El radio mínimo asociado a una determinada velocidad de proyecto (Vp) se indica en la Tabla 4.4.

 

FIGURA 4.5. RELACIÓN ENTRE RADIOS DE CURVAS CIRCULARES CONSECUTIVAS SIN RECTA
INTERMEDIA O CON RECTA DE LONGITUD LIMITADA.

 

4.6 CONSISTENCIA DEL TRAZADO EN PLANTA EN CARRETERAS CONVENCIONALES.

En el proyecto de una carretera convencional se realizará un estudio de la consistencia de su trazado en planta.

Se considerará que existe consistencia buena entre los elementos de trazado en planta de una carretera que discurre por terreno llano u ondulado si se verifican las siguientes condiciones:

Para cada elemento del trazado:

 

Siendo:

Para elementos consecutivos:

 

No obstante, se podrá considerar que existe consistencia aceptable entre los elementos de trazado en planta de una carretera que discurre por terreno llano u ondulado si se verifican las siguientes condiciones:

 

En fase de proyecto, las velocidades operativas características deberán ser objeto de una justificada estimación.

Estos criterios se consideran aplicables cuando la velocidad de proyecto (Vp) sea inferior a cien kilómetros por hora (< 100 km/h). Para aplicar las expresiones anteriores, y para cada elemento de trazado, la velocidad operativa característica se evaluará en la sección de la vía donde se alcance su valor máximo.

En rectas de longitud no limitada o en alineaciones circulares de radios elevados, la velocidad operativa característica puede ser superior a la velocidad de proyecto (Vp), considerándose aceptable en este caso una diferencia de hasta treinta kilómetros por hora ( ≤ 30 km/h).

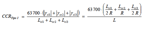
De forma complementaria, se podrá realizar una evaluación de la consistencia en fase de proyecto a partir del concepto de tasa de cambio de curvatura de un elemento (CCRi) o grupo de elementos del trazado.

Se define la tasa de cambio de curvatura, en gonios por kilómetro, mediante la expresión:

 

Siendo:

 

En el caso particular de una curva circular de radio R se tiene:

 

A partir de la expresión anterior, para la alineación curva Tipo I (Anexo 4) se tendrá:

 

Siendo:

 

En un tramo que incluya un grupo de elementos, se define una tasa de cambio de curvatura global, en función de la media ponderada de tasas de los elementos constitutivos, excluidas las alineaciones rectas, mediante la expresión:

 

Se considerará que existe consistencia buena en planta si se verifica para cada elemento:

 

No obstante, se podrá considerar que existe consistencia aceptable en planta si se verifica:

 

4.7 BOMBEO Y PERALTE.

Se define como bombeo la inclinación transversal de la plataforma o plataformas de una carretera en los tramos en recta para evacuar el agua hacia el exterior. El valor habitual del bombeo se corresponde con una inclinación transversal mínima del dos por ciento ( ≥ 2 %) con las matizaciones indicadas en el epígrafe 7.3.3.

Se define como peralte la inclinación transversal de la plataforma o plataformas que conforman una carretera en los tramos en curva (curva circular con clotoides) que se dispone para contrarrestar la aceleración centrífuga no compensada por el rozamiento y evacuar el agua hacia el exterior.

Se diseñará bombeo y no peralte, en las curvas circulares de radio superior a siete mil quinientos metros (> 7 500 m) en las carreteras de los Grupos 1 y 2 y de radio superior a tres mil quinientos metros (> 3 500 m) en las carreteras del Grupo 3.

En carreteras de una plataforma con dos carriles y dos arcenes,13 el bombeo estará usualmente constituido por dos planos diferentes, uno para cada semiplataforma (carril y arcén contiguo) inclinados hacia el exterior. Si la carretera tuviese carriles adicionales una semiplataforma podría tener dos carriles.

13 Carreteras convencionales.

En carreteras de dos plataformas separadas y al menos dos (≥ 2) carriles y dos arcenes en cada plataforma, el bombeo estará constituido por dos planos diferentes, uno para cada plataforma.

Para adaptar la inclinación transversal de la plataforma de los tramos rectos a los curvos es necesario efectuar primero un desvanecimiento del bombeo y después una transición del peralte.

4.7.1 EJE DE GIRO DE LA SECCIÓN TRANSVERSAL.

En carreteras de plataforma única con dos carriles se tomará como eje de giro de la sección transversal la marca vial que separa ambos sentidos de circulación. De forma justificada, en carreteras urbanas, en carreteras de montaña y en carreteras que discurren por espacios naturales de elevado interés ambiental o acusada fragilidad y de mejoras locales en carreteras existentes podrán definirse otros ejes de giro de la sección transversal.

En carreteras de plataformas separadas se tomarán como ejes de giro de la sección transversal los bordes interiores de cada una las plataformas o los bordes interiores de ambas calzadas (marca vial continua interior). Si estuviese prevista una ampliación por la mediana se tomarán como ejes de giro de la sección transversal los bordes interiores de las futuras plataformas ampliadas, analizándose detenidamente el estado final de la mediana para evitar escalones, garantizar el drenaje y poder disponer los sistemas de contención de vehículos y la señalización vertical. De forma justificada podrán definirse otros ejes de giro de la sección transversal. Donde exista más de una plataforma por sentido, se definirán los ejes de giro de la sección transversal de cada una de ellas de modo que, entre los extremos de las exteriores, se eviten excesivas diferencias de cota y, en las medianas y tercianas, se minimicen los escalones, se garantice el drenaje y se puedan disponer los sistemas de contención de vehículos, la señalización vertical y, en su caso, los elementos de iluminación y las pantallas acústicas.

4.7.2 DESVANECIMIENTO DEL BOMBEO Y TRANSICIÓN DEL PERALTE.

Se define como desvanecimiento del bombeo el giro que se efectúa en la inclinación transversal de una plataforma en carreteras de calzadas separadas o de una semiplataforma en carreteras convencionales para pasar, en una alineación recta, desde la inclinación correspondiente al bombeo a una inclinación transversal nula (0 %).

Se define como transición del peralte el giro que se efectúa en la inclinación transversal de la plataforma para pasar, en una curva de acuerdo en planta, desde una inclinación transversal nula (0 %) a la inclinación transversal correspondiente al peralte (p %) o desde el bombeo al peralte (p %) según proceda.

El desvanecimiento del bombeo y la transición del peralte deberán llevarse a cabo combinando las dos condiciones siguientes:

El desvanecimiento del bombeo en cualquier clase de carretera se hará en la alineación recta e inmediatamente antes de la tangente de entrada a la curva de acuerdo en planta (clotoide) con las siguientes longitudes:

El desvanecimiento del bombeo en el caso de alineación recta unida a curva circular (sin curva de acuerdo) se efectuará sobre la alineación recta.

La transición del peralte en carreteras convencionales se desarrollará a lo largo de la curva de acuerdo en planta (clotoide), en dos tramos, habiéndose desvanecido previamente el bombeo que exista en sentido contrario al del peralte definitivo:

La longitud de la curva de acuerdo en la que se efectúa la transición del peralte deberá tener la longitud mínima correspondiente a la limitación por transición del peralte establecida en el epígrafe 4.4.3.2.

La transición del peralte en el caso de alineación recta unida a curva circular (sin curva de acuerdo) se efectuará sobre la alineación recta inmediatamente después del desvanecimiento del bombeo y con los criterios establecidos para la clotoide.

Los tramos de transición del peralte en el caso de que la longitud de la curva circular sea menor que treinta metros (< 30 m), se desplazarán de forma que exista un tramo de treinta metros (30 m) con pendiente transversal constante e igual al peralte correspondiente al radio de la curva circular. Se procederá de igual forma en el caso de clotoides de vértice, disponiéndose un tramo de treinta metros (30 m) con pendiente transversal constante e igual al peralte correspondiente al radio de curvatura de dichas clotoides en su vértice.

Se evitará la coincidencia de peralte nulo y rasante cuasi horizontal. En los tramos donde esto no se pueda evitar se realizará un estudio de la evacuación de las aguas de la plataforma.

Se incluyen en las Figuras 4.6 a 4.10 los casos más frecuentes correspondientes a una carretera convencional con el eje de giro en el centro de la calzada, en las que “B” es el ancho de la semicalzada.

Las longitudes máximas de recta limitada que se incluyen en las Figuras 4.9 y 4.10 son las definidas en la Tabla 4.2.

 

FIGURA 4.6. TRANSICIÓN DEL PERALTE DE RECTA A CURVA CON ROTACIÓN EN EJE DE LA CALZADA.

 

 

FIGURA 4.7. TRANSICIÓN DEL PERALTE ENTRE CURVAS DEL MISMO SENTIDO CON ROTACIÓN EN EJE DE LA CALZADA.

 

 

FIGURA 4.8. TRANSICIÓN DEL PERALTE ENTRE CURVAS DE SENTIDO CONTRARIO CON ROTACIÓN EN EJE DE LA CALZADA.

 

 

FIGURA 4.9. TRANSICIÓN DEL PERALTE ENTRE CURVAS DEL MISMO SENTIDO CON RECTA DE LONGITUD LIMITADA Y ROTACIÓN EN EJE DE LA CALZADA.

 

 

FIGURA 4.10. TRANSICIÓN DEL PERALTE ENTRE CURVAS DE SENTIDO CONTRARIO CON RECTA DE LONGITUD LIMITADA Y ROTACIÓN EN EJE DE LA CALZADA.

 

La transición del peralte en carreteras de calzadas separadas se efectuará de forma idéntica con la salvedad de que el giro de la plataforma no se realiza respecto a su eje, sino respecto al borde correspondiente de cada una de las calzadas (usualmente, el borde interior y, si existe previsión de ampliación, el borde de la futura calzada ampliada para evitar escalones), siendo en este caso “B” el ancho de la calzada. Es posible también utilizar como eje de giro del peralte el borde de la plataforma.